Listen News
0:00
0:30
News Summary
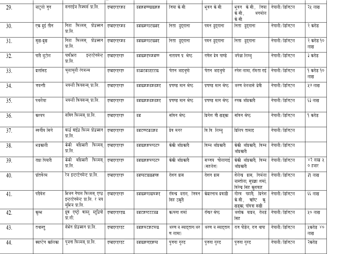
Generated by OK AI. Editorially reviewed.- चलचित्र विकास बोर्डले २०८२ सालमा कुल २३० वटा नेपाली फिल्मले निर्माण इजाजत पाएको सूची सार्वजनिक गरेको छ।
काठमाडौं । २०८२ सालमा कुल २३० वटा नेपाली फिल्मले निर्माण इजाजत पाएका छन् । चलचित्र विकास बोर्डले बैशाखदेखि चैतसम्म निर्माण अनुमति पाउने फिल्मको सूची सार्वजनिक गरेको छ ।
यस्तो छ सूची :

१६५
प्रत्यक्ष सिट
पार्टीहरू
प्रत्यक्ष सिट
0 Seat
समानुपातिक
कुल सिट
▾
0 Seat
यो खबर पढेर तपाईलाई कस्तो महसुस भयो ?
प्रतिक्रिया
भर्खरै
पुराना
लोकप्रिय
यो पनि
ट्रेन्डिङ
Advertisment
प्रतिक्रिया 4