४ माघ, काठमाडौं । हर्क साम्पाङ नेतृत्वको श्रम संस्कृति पार्टीले प्रतिनिधि सभाको समानुपातिक तर्फको ११० सिटमै उम्मेदवारी दिएको छ ।
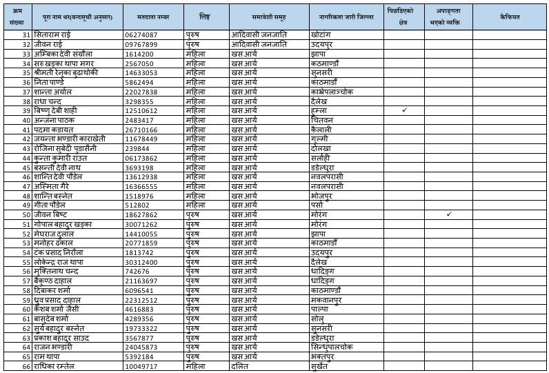
निर्वाचन आयोगको विवरण अनुसार आदिवासी जनजातितर्फ महिलामा पहिलो नम्बरमा मन्दिरा मुक्तानको नाम छ । यही कलस्टरमा दोस्रो नम्बरमा मिना देवी सिङकको नाम छ ।
आदिवासी जनजातितर्फ महिलामा पुरुषमा पहिलो नम्बरमा पूर्ण प्रसाद लिम्बु र दोस्रो नम्बरमा प्रसाद राईको नाम रहेको छ ।
खसआर्य महिलामा अम्बिकादेवी संग्रौलाको नाम रहेको छ ।
दलहरूले गत पुस १३ र १४ गते समानुपातिक सूची निर्वाचन आयोगमा बुझाएका थिए । उक्त सूची आज सार्वजनिक भएको छ । निर्वाचन आयोगले प्रकाशन गरेको बन्दसूचीमा नाम समावेश भएका कुनै उम्मेदवारको योग्यताको सम्बन्धमा दावी विरोध गर्न चाहने मतदाताले यही माघ १० गतेसम्म निवेदन दिन सक्नेछन् ।
निर्वाचन आयोग समानुपातिक निर्वाचन प्रणालीतर्फको निर्वाचन अधिकृतको कार्यालयमा उपस्थित भई दावी विरोध गर्नुपर्ने हुन्छ ।
प्रत्यक्ष तर्फको मनोनयन भने आगामी मंगलबार हुँदैछ ।
प्रतिनिधि सभाको निर्वाचन आगामी फागुन २१ गते हुँदैछ । समानुपातिक तर्फबाट ११० जना र प्रत्यक्ष तर्फबाट १६५ जना निर्वाचित हुन्छन् ।
हेर्नुहोस् श्रम संस्कृति पार्टीको समानुपाति सूची




प्रतिक्रिया 4