५ माघ, काठमाडौं । नेकपा एमालेका समानुपातिक उम्मेदवारको सूची सार्वजनिक भएको छ । समानुपातिकतर्फ ११० जना उम्मेदवार हुन्छन् ।
एमालेको समानुपातिक सूचीमा आदिवासी जनजाति महिलातर्फ पहिलो नम्बरमा भूमिका लिम्बु सुब्बाको नाम छ । दोस्रोमा गंगादेवी श्रेष्ठ, तेस्रोमा अनिता कन्दङ्गवा र चौथोमा उषाकला राईको नाम छ ।
आदिवासी जनजाति क्लस्टर अन्तर्गत पुरुषतर्फ पहिलो नम्बरमा रामबहादुर थापा मगरको नाम छ । दोस्रोमा कुलभक्त शाक्य, तेस्रोमा बुद्धभक्त चित्रकार र चौथोमा इन्द्रबहादुर तामाङ रहेका छन् ।
खसआर्य महिलातर्फ महिलो नम्बरमा पद्मा कुमारी अर्याल, दोस्रोमा टुकाभद्रा हमाल, तेस्रोमा निरुदेवी पाल, चौथोमा कोमल वली र पाँचौंमा नर्वदा देवी सिवाकोटीको नाम छ ।
खसआर्य पुरुषतर्फ पहिलो नम्बरमा गुरुप्रसाद बराल, दोस्रोमा पुष्पराज कँडेल, तेस्रोमा गोरख बहादुर बोगटी, चौथोमा नरेशप्रसाद पोखरेल र पाँचौंमा प्रेमकुमार पराजुलीको नाम छ ।
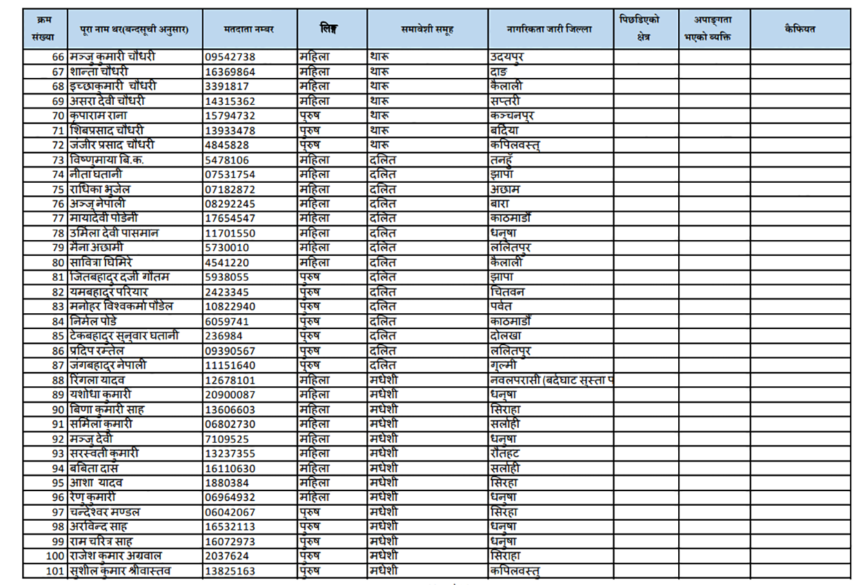
थारु कलस्टर अन्तर्गत महिलामा मञ्जुकुमारी चौधरीको नाम पहिलो नम्बरमा छ । दोस्रोमा शान्ता चौधरीको नाम छ । तेसोमा इच्छाकुमारी चौधरी र चौथोमा अप्सादेवी चौधरीको नाम छ । थारु कलस्टरमा पुरुषतर्फ पहिलो नम्बरमा कृपाराम राना र दोस्रोमा जजिरप्रसाद चौधरी रहेका छन् ।
दलिततर्फ महिलामा पहिलो नम्बरमा विष्णुमाया विक, दोस्रोमा नीता घतानी, तेस्रोमा राधिका भुजेल, चौथोमा अञ्जु नेपालीको नाम छ ।
दलित पुरुषतर्फ जितबहादुर दर्जी गौतमको नाम पहिलो नम्बरमा छ । दोस्रोमा यमबहादुर परियार, तेस्रोमा मनोहर विश्वकर्मा पौडेल र चौथोमा निर्मल पोडे रहेका छन् ।
मधेशी महिला कलस्टरमा पहिलो नम्बरमा रिंगला यादवको नाम छ । दोस्रोमा यशोधा कुमारी, तेस्रोमा विणा कुमारी साह र चौथोमा शर्मिला कुमारीको नाम छ ।
मधेशी पुरुषतर्फ पहिलो नम्बरमा चन्द्रेश्वर मण्डलको नाम छ । दोस्रोमा अरविन्द साह, तेस्रोमा राम चरित्र साह, चौथोमा राजेश कुमार अग्रवालको नाम छ ।
मुस्लिम कलस्टर महिलामा साजिदा खातुन सिद्धिकी, रुही नाज, रोजीरन खातुनको नाम छ । मुस्लिम पुरुषतर्फ एजाज आलम र मोहम्मद हारुन हलवाई रहेका छन् ।
दलहरूले गत पुस १३ र १४ गते समानुपातिक तर्फको उम्मेदवारको सूची निर्वाचन आयोगमा पेस गरेका थिए । क्लस्टर मिलाउने र उम्मेदवारी फिर्ता लिने लगायतको कार्य सकेर उम्मेदवारको नामावली प्रकाशन भएको हो ।
प्रकाशित नामावलीउपर उम्मेदवारको योग्यताको सम्बन्धमा दावी विरोध गर्न चाहने मतदाताले यही माघ १० गतेसम्म निवेदन दिन सक्नेछन् । निर्वाचन आयोग समानुपातिक निर्वाचन प्रणालीतर्फको निर्वाचन अधिकृतको कार्यालयमा उपस्थित भई दावी विरोध गर्नुपर्ने हुन्छ ।
प्रत्यक्ष तर्फको मनोनयन भने माघ ६ गते मंगलबार हुँदैछ ।
प्रतिनिधि सभाको निर्वाचन आगामी फागुन २१ गते हुँदैछ । समानुपातिक तर्फबाट ११० जना र प्रत्यक्ष तर्फबाट १६५ जना निर्वाचित हुन्छन् ।

प्रतिक्रिया 4