२० माघ, काठमाडौं । फागुन २१ गते प्रतिनिधिसभा निर्वाचन हुँदैछ । अहिले दलहरू निर्वाचन क्षेत्र केन्द्रित चुनावी प्रचारमा व्यस्त छन् । दलहरू घोषणा पत्र तयार पार्न पनि उत्तिकै व्यस्त छन् ।
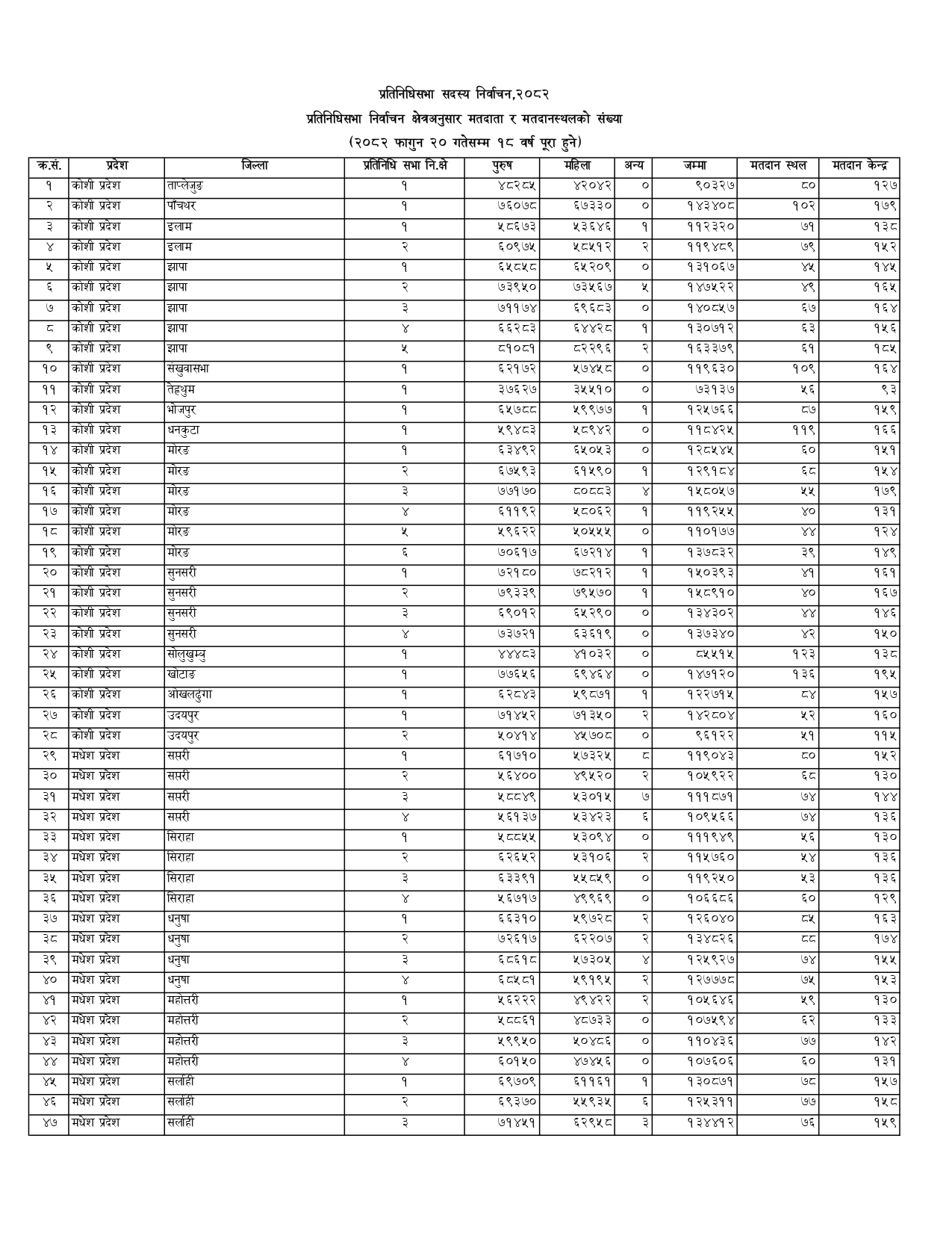
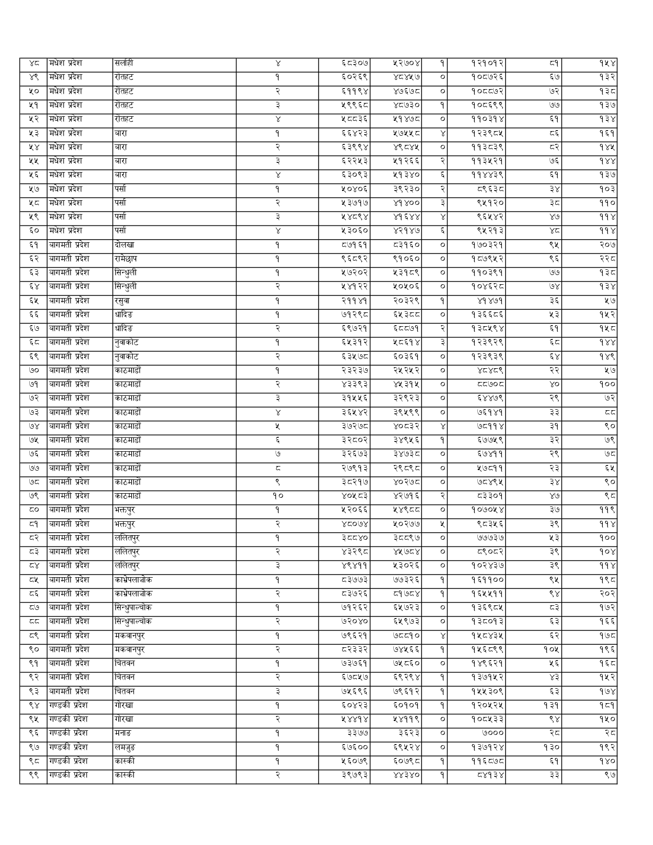
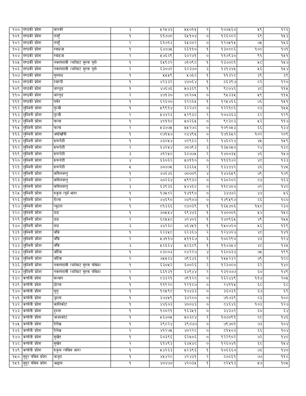
आगामी फागुन २० गतेसम्म १८ वर्ष पूरा हुनेहरूले मताधिकार प्रयोग गर्न पाउनेछन् । निर्वाचन आयोगका अनुसार फागुन २१ को निर्वाचनमा १ करोड ७९ लाख ३ हजार ९९ जना मतदाताले मत खसाल्न पाउनेछन् ।
७७ जिल्लाका १६५ निर्वाचन क्षेत्रमै कति मतदाता छन् भनेर निर्वाचन आयोगले विवरण सार्वजनिक गरेको छ । जसअनुसार रामेछापममा सबैभन्दा धेरै एक लाख ८७ हजार ९५२ जना मतदाता छन् । त्यस्तै सबैभन्दा कम मनाङमा ७ हजार मतदाता छन् । धेरै मतदाता भएको रामेछाप र कम मतदाता भएको मनाङ दुवै एक मात्र निर्वाचन क्षेत्र भएका जिल्ला हुन् ।
हेर्नुहोस् कुन निर्वाचन क्षेत्रमा कति मतदाता

प्रतिक्रिया 4